Вернуться к содержанию учебника
Выберите год учебника
№2.441 учебника 2023-2024 (стр. 103):
Вычислите:
| а) 200 - 101 : 3 + 37 : 5 ? | б) 200 • 5 - 130 : 29 + 270 ? |
| в) 3 • 0,3 + 4,1 : 100 • 20 ? | г) 0,45 : 9 • 6 + 2,7 : 0,01 ? |
| д) 5,6 : 0,7 : 20 + 4,8 : 26 ? |
№2.441 учебника 2021-2022 (стр. 98):
Выполните действия:

№2.441 учебника 2023-2024 (стр. 103):
Вспомните:
№2.441 учебника 2021-2022 (стр. 98):
Вспомните:
№2.441 учебника 2023-2024 (стр. 103):
| а) 200 - 101 = 99 99 : 3 = 33 33 + 37 = 70 70 : 5 = 14 | б) 200 • 5 = 1000 1000 - 130 = 870 870 : 29 = 30 30 + 270 = 300 |
| в) 3 • 0,3 = 0,9 0,9 + 4,1 = 5 5 : 100 = 0,05 0,05 • 20 = 1 | г) 0,45 : 9 = 0,05 0,05 • 6 = 0,3 0,3 + 2,7 = 3 3 : 0,01 = 300 |
| д) 5,6 : 0,7 = 8 8 : 20 = 0,4 0,4 + 4,8 = 5,2 5,2 : 26 = 0,2 |
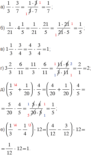
№2.441 учебника 2021-2022 (стр. 98):

Пояснения:
Правила, по которым выполнены вычисления:
1) произведением двух дробей является дробь, числитель которой равен произведению числителей, а знаменатель - произведению знаменателей. При выполнении умножения дробей, чтобы вычисления были проще, не надо перемножать сразу, лучше сделать это после сокращения. Сократить дробь - значит, разделить ее числитель и знаменатель на одно и то же число (наибольший общий делитель);
2) чтобы выполнить умножение смешанных чисел, нужно записать эти числа в виде неправильных дробей, а затем воспользоваться правилом умножения дробей. Чтобы преобразовать смешанное число в неправильную дробь, надо целую часть числа умножить на знаменатель дробной части и к полученному произведению прибавить числитель дробной части; эту сумму записать как числитель неправильной дроби, а в ее знаменатель записать знаменатель дробной части смешанного числа;
3) чтобы найти сумму (разность) двух дробей с одинаковыми знаменателями, нужно сложить (вычесть) их числители, а знаменатель оставить прежним;
4) чтобы сложить (вычесть) две дроби с разными знаменателями, надо: привести данные дроби к общему знаменателю, а затем применить правило сложения (вычитания) дробей с одинаковыми знаменателями;
5) произведение взаимно обратных чисел равно единице (обратным числу
является число
).
В пунктах д) и е) сначала выполняем действия в скобках, а затем за скобками.
Вернуться к содержанию учебника